ул. Пионерская, 5-73, 212030, г. Могилев
Пн.-Пт. с 8:00 до 17:00, Сб., Вс. - выходной
+375 (222) 633912
(Приемная/Факс)
ОАО «Управляющая компания холдинга «Могилевводстрой»
Версия сайта для слабовидящих
Об организации
Виды деятельности
История создания
Политика в области качества
Реквизиты для заключения договоров
График личного приёма граждан
Контакты областного унитарного предприятия
Борьба с коррупцией
Структура
ОАО «ПМК-82 Водстрой»
ОАО «ПМК-84 Водстрой»
ОАО «ПМК-86 Водстрой»
ОАО «ПМК-87 Водстрой»
ОАО «ПМК-88 Водстрой»
ОАО «ПМК-89 Водстрой»
ОАО «ПМК-90 Водстрой»
ОАО «ПМК-92 Водстрой»
ОАО «ПМК-93 Водстрой»
ОАО «ПМК-94 Водстрой»
ОАО «ПМК-95 Водстрой»
ОАО «ПМК-97 Водстрой»
ОАО «ПМК-98 Водстрой»
Каталог
Новости
Документы
Галерея
Электронные обращения
Контакты
ru
RU
EN
BY
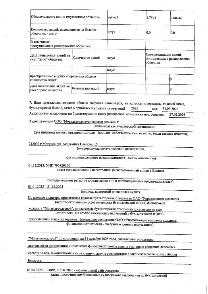
Годовой отчет за 2025 г.
Новости
© Copyright | vodstroy.by | 2026
| Все права защищены
Сайт разработан
dytri.com
Задать вопрос